Wizardに尋ねる #422
議論のために、無限の数のデッキを持つブラックジャックゲームを想定し、無限の再スプリットが許可され、プレイヤーはどのペアでもスプリットするものとします。プレイヤーが最終的にプレイするハンドの数が与えられた場合、その確率はどれくらいでしょうか?
n回のハンドに再分割する確率は、(combin(2*(n-1),n-1)/n) × (1/13)^(n-1) × (12/13)^n です。最初の項について少し説明が必要だったので、詳しくはカタラン数を調べてください。
以下の表は、1から20までの最終ハンドの確率を示しています。2番目の列は「木」の数で、上記の式ではカタラン数に相当します。
| 手 | 木々 | 確率 |
|---|---|---|
| 1 | 1 | 0.9230769230769 |
| 2 | 1 | 0.0655439235321 |
| 3 | 2 | 0.0093080128093 |
| 4 | 5 | 0.0016523099661 |
| 5 | 14 | 0.0003285065968 |
| 6 | 42 | 0.0000699777366 |
| 7 | 132 | 0.0000156163334 |
| 8 | 429 | 0.0000036037693 |
| 9 | 1430 | 0.0000008529631 |
| 10 | 4862 | 0.0000002059225 |
| 11 | 16796 | 0.0000000505114 |
| 12 | 58786 | 0.0000000125531 |
| 13 | 208012 | 0.0000000031540 |
| 14 | 742900 | 0.0000000007998 |
| 15 | 2674440 | 0.0000000002045 |
| 16 | 9694845 | 0.0000000000526 |
| 17 | 35357670 | 0.0000000000136 |
| 18 | 129644790 | 0.0000000000035 |
| 19 | 477638700 | 0.0000000000009 |
| 20 | 1767263190 | 0.00000000000002 |
ピタゴラスの三つ組は無限にあると聞きました。それを求める公式はありますか?
はい、ピタゴラス数列は無限に存在します!ピタゴラス数列という言葉に馴染みのない方のために説明すると、ピタゴラス数列とは、各辺が整数である直角三角形のことです。最も有名なのは3-4-5です。ピタゴラス数列で、aとbに任意の整数値(a < bで、一方が奇数、もう一方が偶数)を選ぶことで、唯一(つまり約分不可能)な集合が得られます。
- レッグ1 = b 2 - a 2
- レグ2 = 2ab
- 斜辺 = a 2 + b 2
次の表は、すべての辺が 101 以下である、約分できないピタゴラスの三つ組をすべて示しています。
| a,b | 第1レグ | 第2レグ | 斜辺 |
|---|---|---|---|
| 1,2 | 3 | 4 | 5 |
| 1,4 | 8 | 15 | 17 |
| 1,6 | 12 | 35 | 37 |
| 1,8 | 16 | 63 | 65 |
| 1,10 | 20 | 99 | 101 |
| 2,3 | 5 | 12 | 13 |
| 2,5 | 20 | 21 | 29 |
| 2,7 | 28 | 45 | 53 |
| 2,9 | 36 | 77 | 85 |
| 3,4 | 7 | 24 | 25 |
| 3,6 | 27 | 36 | 45 |
| 3,8 | 48 | 55 | 73 |
| 4,5 | 9 | 40 | 41 |
| 4,7 | 33 | 56 | 65 |
| 4,9 | 65 | 72 | 97 |
| 5,6 | 11 | 60 | 61 |
| 5,8 | 39 | 80 | 89 |
| 6,7 | 13 | 84 | 85 |
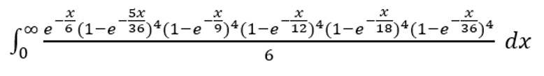
2 つのサイコロを振って、7 が出る前に 7 以外のすべての目が少なくとも 2 回出る確率はどれくらいですか。
このような問題のコツは、ロール間の時間が平均 1 の指数分布に従う場合、確率は同じになることです。この場合、次の式で表すことができます。

テキスト形式で表すと、exp(-x/6)*(1-exp(-5x/36))^4*(1-exp(-4x/36))^4*(1-exp(-3x/36))^4*(1-exp(-2x/36))^4*(1-exp(-1x/36))^4/6となります。
このような積分を解くには、この積分計算機をお勧めします。
答えは 7864581698887803455719/10946915593544650625105200 =~ 0.0007184290069364848 となります。