Wizardに尋ねる #391
1 2 + 2 2 + 3 2 + ... + n 2 = ?
[ネタバレ=答え]1 2 + 2 2 + 3 2 + ... + n 2 = n(n+1)(2n+1)/6 [/spoiler]
これが私の解決策です。(PDF)
公平なコインを100万回投げるとします。5つの基本的な算術関数(+、0、*、/、^)を備えた簡単な計算機だけを使って、表と裏が全く同じ回数出る確率はどれくらいでしょうか?大まかな概算で十分です。
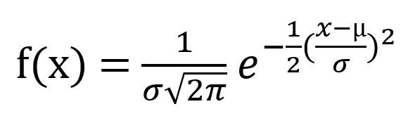
標準正規曲線の式を思い出してください。

1回のコイントスで表が出る期待値は0.5で、表が出る期待値の2乗も0.5です。したがって、1回のコイントスで表が出る期待値の分散は0.5-(0.5) 2 = 0.5 - 0.25 = 0.25です。100万回コイントスした場合の分散は1,000,000 * 0.25 = 250,000です。100万回コイントスした場合の標準偏差はその平方根、つまりsqrt(250,000) = 5,000です。
x を期待値 500,000 に対する表の数とします。x の平均は 0 です。示されているように、x の標準偏差は 5,000 です。
したがって、x=0 の確率は次のようになります。

これは、1/(5000*sqrt(2*π)) =~ 0.000797885 =~ 1 in 1253.314137 と簡略化されます。
リンク
標準正規曲線に関するWikipediaのエントリ。
あなたは時速15マイル(約24km/h)で運動用の小道を自転車で走っています。同じ小道でジョギングをしている人たちが時速5マイル(約8km/h)で走っています。ジョギングをしている人の数は両方向に同数です。あなたが追い抜くジョギングをしている人たちのうち、反対方向に走っている人の割合はどのくらいでしょうか?
経路の長さが 15 マイルであると仮定します。
自転車に乗っていた人は、私がスタートする 3 時間前から 1 時間後まで、反対側からスタートしたジョギングをしている人たちに遭遇しました。つまり、合計 4 時間にわたってジョギングをしている人たちに遭遇したことになります。
同じ方向に進むと、自転車に乗っている人は私より2時間前に出発した人から私と同じ時間までに出発した人まで、合計2時間ジョギングしている人に出会うことになります。
つまり、反対方向へ向かうジョギングをする人の数は2倍になります。反対方向へ向かうジョギングをする人の数と全ジョギングをする人の数の比率は、4/(2+4) = 2/3です。
同じ方向にジョギングしている人と比較すると、あなたの速度は 15 - 5 = 10 mph になります。
反対方向にジョギングしている人と比較すると、あなたの速度は 15+5 = 20 mph になります。
つまり、反対方向にジョギングしている人の数は2倍になります。つまり、比率は2/(1+2) = 2/3となります。
この質問は、Wizard of Vegasの私のフォーラムで尋ねられ、議論されています。